publications
2025
-
3D Topological Modeling and Multi-Agent Movement Simulation for Viral Infection Risk AnalysisArchitectural Science Review, 2025This paper introduces an integrated method that combines computer-aided modelling of indoor environments, multi-agent movement simulation and airborne viral transmission modelling to analyse how spatial design and occupant behaviour affect disease spread. Using TopologicPy, interior spaces are represented as connected networks that support navigation-graph generation and agent movement based on schedules, walking speeds and activities. Agents move incrementally along shortest paths, while the system calculates precise inter-agent distances and respects architectural constraints such as walls and doorways. Viral aerosol concentrations are modelled via a reaction-diffusion equation, and infection risk is estimated using an extended Wells–Riley model. By capturing detailed spatio-temporal and topological interactions, the framework offers realistic infection-risk assessments. The resulting tool serves as a rapid decision-support system for policymakers, facility managers and designers, enabling evaluation of mitigation strategies and informing future building design. A comparative study of cellular and open-plan offices demonstrates the method’s capabilities.
-
Precision TAVR Quantification — AI-accelerated TAVR Planning Reduces Assessment Time by 80% in Bicuspid Aortic StenosisYu Mao, Yang Liu, Mengen Zhai, Ping Jin, Wenjing Li, Xinglong Dong, Fangyao Chen, Xiaodong Wang, Yanchi Wang, Gejun Zhang, Hongxin Li , Yining Yang, Haibo Zhang, Jian Liu, Yingqiang Guo, Yongjian Wu, Yidan Xue, Junpeng Zhang, Alejandro Frangi, and Jian YangEuropean Heart Journal - Imaging Methods and Practice, 2025Aims: Bicuspid aortic valve (BAV) stenosis complicates transcatheter aortic valve replacement (TAVR) planning, with no validated automated measurement algorithm available. We developed Cardioverse, the first fully automated deep learning algorithm for BAV anatomical assessment in TAVR planning.
Methods and Results: We conducted a large-scale, multicenter retrospective study encompassing 1,147 consecutive patients with BAV undergoing TAVR across 16 high-volume Chinese centers (March 2019–February 2023). Cardioverse was trained on this cohort and evaluated in an internal (n = 437) and external (n = 110) validation cohorts. Our novel Cardioverse algorithm demonstrated exceptional segmentation performance across all anatomical targets with Dice similarity coefficients >0.97 for coronary cusps and ostia. Critically, the algorithm achieved unprecedented workflow efficiency gains: 80% reduction in assessment time [241.0 IQR (181.0, 297.0) vs. 1251.0 IQR (872.0, 1408.0) seconds], 85% reduction in user interactions [57.0 IQR (45.0, 78.0) vs. 382.5 IQR (285.5, 475.0) clicks], and 87% reduction in manual effort [7.5 IQR (4.8, 9.3) vs. 57.2 IQR (43.5, 68.4) meters mouse movement] compared to expert observers (P < 0.001). Importantly, accuracy was maintained across all BAV phenotypes with correlation coefficients >0.91 for all critical measurements, including annular dimensions, calcification quantification, and aortic root morphology assessment.
Conclusions: Cardioverse transforms pre-TAVR assessment for BAV patients, offering a validated solution combining accuracy and efficiency. It reduces assessment time from over 20 minutes to < 5 minutes, addressing the need for standardized, rapid, and reliable BAV evaluation. Its robust performance across diverse BAV phenotypes makes it a crucial tool for enhancing TAVR planning consistency.
Clinical trial registration: ClinicalTrials.gov Protocol Registration System (NCT05044338).
-
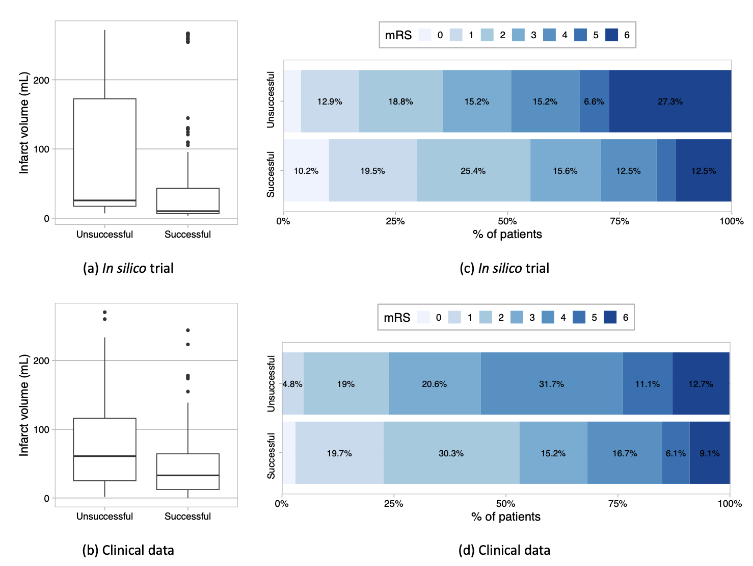
In silico trials of acute ischemic stroke: predicting the total potential for improvement to patient functional outcomesClaire M. Miller, Raymond Padmos, Praneeta Konduri, Tamás István Józsa, Yidan Xue, Nerea Arrarte Terreros, Max van der Kolk, Stephen Payne, Henk Marquering, Charles Majoie, and Alfons HoekstraarXiv, 2025This study uses in silico trials (ISTs) to quantify the potential for benefit due to improved recanalisation outcomes and shorter time to treatment for acute ischaemic stroke (AIS) patients. We use an IST framework to run trials on cohorts of virtual patients with early and late treatment after stroke onset, and with successful (full) and unsuccessful (no) recanalisation outcomes. Using a virtual population of AIS patients, and in silico models of blood flow, perfusion, and tissue death, we predict the functional independence of each patient at 90 days using the modified Rankin Scale (mRS). Results predict 57% of the virtual population achieve functional independence with full recanalisation and a treatment time of 4 hours or less, compared to 29% with no recanalisation and more than 4 hours to treatment. Successful recanalisation was more beneficial than faster treatment: the best-case common odds ratio (improved mRS) due to recanalisation was 2.7 compared to 1.6 for early treatment. This study provides a proof-of-concept for a novel use-case of ISTs: quantifying the maximum potential for improvement to patient outcomes. This would be useful during early stages of therapy development, to determine the target populations and therapy goal with the greatest potential for population improvements.
- Synthetic Anatomy: Deep Learning Models for Virtual Population Generation—A ReviewZherui Zhou, Arezoo Zakeri, Haoran Dou, Yidan Xue, Michael MacRaild, Jinghan Huang, Fengming Lin, Ali Sarrami-Foroushani, Jinming Duan, and Alejandro F FrangimedRxiv, 2025
In-silico trials (ISTs) represent a transformative approach in medical research, leveraging computer modelling and simulation to evaluate products virtually. This systematic review examines state-of-the-art methods for generating virtual populations (VPs), a crucial component of ISTs. The review focuses on deep learning techniques developed over the past decade for building generative geometric models specifically designed for the synthesis of virtual organ populations. Through a comprehensive analysis of recent publications, we identified several key challenges in the field: the generation of complex topological structures, effective utilisation of multimodal data, maintenance of cross-resolution consistency, and the absence of standardised evaluation metrics. We provide a systematic examination of evaluation frameworks, analysing methods across four key dimensions: fidelity, utility, generalisability, and diversity. Additionally, we present a meta-analysis comparing the performance of methods based on different model architectures across various anatomical structures, offering quantitative insights into their relative strengths and limitations. Our review provides a structured examination of data inputs and outputs, generative approaches, and evaluation metrics, whilst discussing the challenges and potential future directions accordingly. To the best of our knowledge, this work represents the first systematic review specifically focused on geometrical deep learning-based methods for building anatomical virtual populations, offering insights into current limitations and future research directions in this rapidly evolving field.
-
From Pixels to Polygons: A Survey of Deep Learning Approaches for Medical Image-to-Mesh ReconstructionFengming Lin, Arezoo Zakeri, Yidan Xue, Michael MacRaild, Haoran Dou, Zherui Zhou, Ziwei Zou, Ali Sarrami-Foroushani, Jinming Duan, and Alejandro F FrangiarXiv, 2025Deep learning-based medical image-to-mesh reconstruction has rapidly evolved, enabling the transformation of medical imaging data into three-dimensional mesh models that are critical in computational medicine and in silico trials for advancing our understanding of disease mechanisms, and diagnostic and therapeutic techniques in modern medicine. This survey systematically categorizes existing approaches into four main categories: template models, statistical models, generative models, and implicit models. Each category is analysed in detail, examining their methodological foundations, strengths, limitations, and applicability to different anatomical structures and imaging modalities. We provide an extensive evaluation of these methods across various anatomical applications, from cardiac imaging to neurological studies, supported by quantitative comparisons using standard metrics. Additionally, we compile and analyze major public datasets available for medical mesh reconstruction tasks and discuss commonly used evaluation metrics and loss functions. The survey identifies current challenges in the field, including requirements for topological correctness, geometric accuracy, and multi-modality integration. Finally, we present promising future research directions in this domain. This systematic review aims to serve as a comprehensive reference for researchers and practitioners in medical image analysis and computational medicine.
-
Transit time mean and variance are markers of vascular network structure, wall shear stress distribution and oxygen extraction fractionStephen J Payne, Yidan Xue, Jen-Feng Kuo, and Wahbi K El-BouriBiomechanics and Modeling in Mechanobiology, 2025Perfusion measurements provide information about flow magnitude, but more detailed information is found from transit time distributions (TTD). Whether TTDs provide intrinsic (flow-independent) information about vascular geometry or just flow field remains unknown. We propose a new approach to calculate TTD, based on wall shear stress (WSS). We show that constant WSS yields zero-variance TTD. Simulations in statistical networks show that mean transit time (MTT) and capillary transit time heterogeneity (CTH) are primarily determined by pathway number distribution rather than pressure drop distribution. Using 1000 statistically generated cortical columns, we show that (1) the central volume theorem provides a very good approximation for MTT, hence is a measure of tissue permeability; (2) CTH/MTT ratio, RTH (relative transit time heterogeneity), is a marker of WSS variability; and (3) RTH is inversely related to network oxygen extraction fraction (OEF) but only weakly related to MTT. RTH is below one in animal models, but above one in humans, indicating that WSS distribution is tighter in small animals (lower RTH and higher OEF), due to higher metabolic rate. Human WSS distribution appears to be an inherent property, since simulations show much larger RTH. Finally, WSS distribution is unaffected in ageing, but altered in pathology.
- Computing Stokes flows in periodic channels via rational approximationYidan XueProceedings of the Royal Society A, 2025
Rational approximation has proven to be a powerful method for solving two-dimensional fluid problems. At small Reynolds numbers, two-dimensional Stokes flows can be represented by two analytic functions, known as Goursat functions. (Xue et al. 2024 SIAM J. Sci. Comput. 46, A1214-A1234 (doi:10.1137/23m1576876)) recently introduced the lightning-adaptive Antoulas-Anderson (AAA) rational Stokes algorithm for computing two-dimensional Stokes flows in general domains by approximating the Goursat functions using rational functions. In this paper, we introduce a new algorithm for computing two-dimensional Stokes flows in periodic channels using trigonometric rational functions, with poles placed via the AAA-least squares algorithm (Costa & Trefethen 2023 In European Congress of Mathematics (ed. A Hujdurović), pp. 511-534 (doi:10.4171/8ecm/16)) in a conformal map of the domain boundary. We apply the algorithm to Poiseuille and Couette problems between various periodic channel geometries, where solutions are computed to at least six-digit accuracy in less than 1 s. The applicability of the algorithm is highlighted in the computation of the dynamics of fluid particles in unsteady Couette flows.
-
Stokes flows in a two-dimensional bifurcationYidan Xue, Stephen J Payne, and Sarah L WatersRoyal Society Open Science, 2025The flow network model is an established approach to approximate pressure-flow relationships in a bifurcating network, and has been widely used in many contexts. Existing models typically assume unidirectional flow and exploit Poiseuille’s law, and thus neglect the impact of bifurcation geometry and finite-sized objects on the flow. We determine the impact of bifurcation geometry and objects by computing Stokes flows in a two-dimensional (2D) bifurcation using the Lightning-AAA Rational Stokes algorithm, a novel mesh-free algorithm for solving 2D Stokes flow problems utilizing an applied complex analysis approach based on rational approximation of the Goursat functions. We compute the flow conductances of bifurcations with different channel widths, bifurcation angles, curved boundary geometries and fixed circular objects. We quantify the difference between the computed conductances and their Poiseuille law approximations to demonstrate the importance of incorporating detailed bifurcation geometry into existing flow network models. We parametrize the flow conductances of 2D bifurcation as functions of the dimensionless parameters of bifurcation geometry and a fixed object using a machine learning approach, which is simple to use and provides more accurate approximations than Poiseuille’s law. Finally, the details of the 2D Stokes flows in bifurcations are presented.
2024
-
Modelling indoor airborne transmission combining architectural design and people movement using the VIRIS simulator and web appScientific Reports, 2024A Viral Infection Risk Indoor Simulator (VIRIS) has been developed to quickly assess and compare mitigations for airborne disease spread. This agent-based simulator combines people movement in an indoor space, viral transmission modelling and detailed architectural design, and it is powered by topologicpy, an open-source Python library. VIRIS generates very fast predictions of the viral concentration and the spatiotemporal infection risk for individuals as they move through a given space. The simulator is validated with data from a courtroom superspreader event. A sensitivity study for unknown parameter values is also performed. We compare several non-pharmaceutical interventions (NPIs) issued in UK government guidance, for two indoor settings: a care home and a supermarket. Additionally, we have developed the user-friendly VIRIS web app that allows quick exploration of diverse scenarios of interest and visualisation, allowing policymakers, architects and space managers to easily design or assess infection risk in an indoor space.
-
Computation of two-dimensional Stokes flows via lightning and AAA rational approximationYidan Xue, Sarah L Waters, and Lloyd N TrefethenSIAM Journal on Scientific Computing, 2024Low Reynolds number fluid flows are governed by the Stokes equations. In two dimensions, Stokes flows can be described by two analytic functions, known as Goursat functions. Brubeck and Trefethen [SIAM J. Sci. Comput., 44 (2022), pp. A1205-A1226] recently introduced a lightning Stokes solver that uses rational functions to approximate the Goursat functions in polygonal domains. In this paper, we present the LARS algorithm (lightning-AAA rational Stokes) for computing two-dimensional (2D) Stokes flows in domains with smooth boundaries and multiply connected domains using lightning and AAA rational approximation [Y. Nakatsukasa, O. Sète, and L. N. Trefethen, SIAM J. Sci. Comput., 40 (2018), pp. A1494-A1522]. After validating our solver against known analytical solutions, we solve a variety of 2D Stokes flow problems with physical and engineering applications. Using these examples, we show rational approximation can now be used to compute 2D Stokes flows in general domains. The computations take less than a second and give solutions with at least 6-digit accuracy.
2022
-
Quantification of hypoxic regions distant from occlusions in cerebral penetrating arteriole treesYidan Xue, Theodosia Georgakopoulou, Anne-Eva van der Wijk, Tamás I Józsa, Ed van Bavel, and Stephen J PaynePLOS Computational Biology, 2022The microvasculature plays a key role in oxygen transport in the mammalian brain. Despite the close coupling between cerebral vascular geometry and local oxygen demand, recent experiments have reported that microvascular occlusions can lead to unexpected distant tissue hypoxia and infarction. To better understand the spatial correlation between the hypoxic regions and the occlusion sites, we used both in vivo experiments and in silico simulations to investigate the effects of occlusions in cerebral penetrating arteriole trees on tissue hypoxia. In a rat model of microembolisation, 25 μm microspheres were injected through the carotid artery to occlude penetrating arterioles. In representative models of human cortical columns, the penetrating arterioles were occluded by simulating the transport of microspheres of the same size and the oxygen transport was simulated using a Green’s function method. The locations of microspheres and hypoxic regions were segmented, and two novel distance analyses were implemented to study their spatial correlation. The distant hypoxic regions were found to be present in both experiments and simulations, and mainly due to the hypoperfusion in the region downstream of the occlusion site. Furthermore, a reasonable agreement for the spatial correlation between hypoxic regions and occlusion sites is shown between experiments and simulations, which indicates the good applicability of in silico models in understanding the response of cerebral blood flow and oxygen transport to microemboli.
2021
-
In silico trials for treatment of acute ischemic stroke: design and implementationClaire Miller, Raymond M Padmos, Max van der Kolk, Tamás I Józsa, Noor Samuels, Yidan Xue, Stephen J Payne, and Alfons G HoekstraComputers in Biology and Medicine, 2021An in silico trial simulates a disease and its corresponding therapies on a cohort of virtual patients to support the development and evaluation of medical devices, drugs, and treatment. In silico trials have the potential to refine, reduce cost, and partially replace current in vivo studies, namely clinical trials and animal testing. We present the design and implementation of an in silico trial for treatment of acute ischemic stroke. We propose an event-based modelling approach for the simulation of a disease and injury, where changes to the state of the system (the events) are assumed to be instantaneous. Using this approach we are able to combine a diverse set of models, spanning multiple time scales, to model acute ischemic stroke, treatment, and resulting brain tissue injury. The in silico trial is designed to be modular to aid development and reproducibility. It provides a comprehensive framework for application to any potential in silico trial. A statistical population model is used to generate cohorts of virtual patients. Patient functional outcomes are also predicted with a statistical model, using treatment and injury results and the patient’s clinical parameters. We demonstrate the functionality of the event-based modelling approach and trial framework by running proof of concept in silico trials. The proof of concept trials simulate the same cohort of patients twice: once with successful treatment (successful recanalisation) and once with unsuccessful treatment (unsuccessful treatment). Ways to overcome some of the challenges and difficulties in setting up such an in silico trial are discussed, such as validation and computational limitations.
-
Modelling the effects of cerebral microthrombi on tissue oxygenation and cell deathYidan Xue, Wahbi K El-Bouri, Tamás I Józsa, and Stephen J PayneJournal of Biomechanics, 2021Thrombectomy, the mechanical removal of a clot, is the most common way to treat ischaemic stroke with large vessel occlusions. However, perfusion cannot always be restored after such an intervention. It has been hypothesised that the absence of reperfusion is at least partially due to the clot fragments that block the downstream vessels. In this paper, we present a new way of quantifying the effects of cerebral microthrombi on oxygen transport to tissue in terms of hypoxia and ischaemia. The oxygen transport was simulated with the Green’s function method on physiologically representative microvascular cubes, which was found independent of both microvascular geometry and length scale. The microthrombi occlusions were then simulated in the microvasculature, which were extravasated over time with a new thrombus extravasation model. The tissue hypoxic fraction was fitted as a sigmoidal function of vessel blockage fraction, which was then taken to be a function of time after the formation of microthrombi occlusions. A novel hypoxia-based 3-state cell death model was finally proposed to simulate the hypoxic tissue damage over time. Using the cell death model, the impact of a certain degree of microthrombi occlusions on tissue viability and microinfarct volume can be predicted over time. Quantifying the impact of microthrombi on oxygen transport and tissue death will play an important role in full brain models of ischaemic stroke and thrombectomy.
2020
-
Formation of vortices in idealised branching vessels: a CFD benchmark studyYidan Xue, Rudolf Hellmuth, and Dong-hyuk ShinCardiovascular Engineering and Technology, 2020Purpose: Atherosclerosis preferentially occurs near the junction of branching vessels, where blood recirculation tends to occur (Malek et al. in J Am Med Assoc 282(21):2035–2042, 1999, https://doi.org/10.1001/jama.282.21.2035). For decades, CFD has been used to predict flow patterns such as separation and recirculation zones in hemodynamic models, but those predictions have rarely been validated with experimental data. In the context of verification and validation (V&V), we first conduct a CFD benchmark calculation that reproduces the vortex detection experiments of Karino and Goldsmith (1980) with idealised branching blood vessels (Karino and Goldsmith in Trans. Am. Soc. Artif. Internal Organs 26:500–506, 1980). The critical conditions for the formation of recirculation vortices, the so-called critical Reynolds numbers, are the main parameters for comparison with the experimental data to demonstrate the credibility of the CFD workflow. We then characterise the wall shear stresses and develop a surrogate model for the size of formed vortices.
Methods: An automated parametric study generating more than 12,000 CFD simulations was performed, sweeping the geometries and flow conditions found in the experiments by Karino and Goldsmith. The flow conditions were restricted to steady-state laminar flow, with a range of inflow Reynolds numbers up to 350, with various flow ratios between the main branch outlet and side branch outlet. The side branch diameter was scaled relative to the main branch diameter, ranging from 1.05/3 to 3/3; and the branching angles ranged in size from to . Recirculation vortices were detected by the inversion of the velocity vector at certain locations, as well as by the inversion of the wall shear stress (WSS) vector.
Results: The CFD simulations demonstrated good agreement with the experimental data on the critical Reynolds numbers. The spatial distributions of WSS on each branch were analysed to identify potential regions of disease. Once a vortex is formed, the size of the vortex increases by the square root of the Reynolds number. The CFD data was fitted to a surrogate model that accurately predicts the vortex size without the need to run computationally more expensive CFD simulations.
Conclusions: This benchmark study validates the CFD simulation of vortex detection in idealised branching vessels under comprehensive flow conditions. This work also proposes a surrogate model for the size of the vortex, which could reduce the computational requirements in the studies related to branching vessels and complex vascular systems.