Yidan Xue

I am a BHF/UK CEiRSI Transition Fellow in the Manchester BHF Centre of Research Excellence and the UK Centre of Excellence on In-Silico Regulatory Science and Innovation (UK CEiRSI) at the University of Manchester. My research focuses on the development of in-silico trials for transcatheter heart valves. Prior to this, I held postdoctoral positions in applied mathematics at Cardiff University and the University of Oxford. I did my DPhil on modelling oxygen transport and tissue damage in the human brain with Professor Stephen Payne at University of Oxford.

Email  /  CV  /  Scholar  /  GitHub  /  LinkedIn  /  X  /  ORCID

profile photo

Research

Jabi 2025 3D Topological Modeling and Multi-Agent Movement Simulation for Viral Infection Risk Analysis
Wassim Jabi, Yidan Xue, Thomas E Woolley, Katerina Kaouri
Architectural Science Review, 2025
code

An integrated method combining topological 3D building models, multi-agent movement simulation, and an extended Wells–Riley airborne transmission model to assess infection risk as a function of spatial design and occupant behaviour.

Mao 2025 Precision TAVR Quantification — AI-accelerated TAVR Planning Reduces Assessment Time by 80% in Bicuspid Aortic Stenosis
Yu Mao, Yang Liu, Mengen Zhai, Ping Jin, Wenjing Li, Xinglong Dong, Fangyao Chen, Xiaodong Wang, Yanchi Wang, Gejun Zhang, Hongxin Li, Yining Yang, Haibo Zhang, Jian Liu, Yingqiang Guo, Yongjian Wu, Yidan Xue, Junpeng Zhang, Alejandro Frangi, Jian Yang
European Heart Journal – Imaging Methods and Practice, 2025

Cardioverse, the first fully automated deep learning algorithm for bicuspid aortic valve anatomical assessment in TAVR planning, reduces measurement time by 80% and user interactions by 85% while maintaining high accuracy across a 16-centre cohort of 1,147 patients.

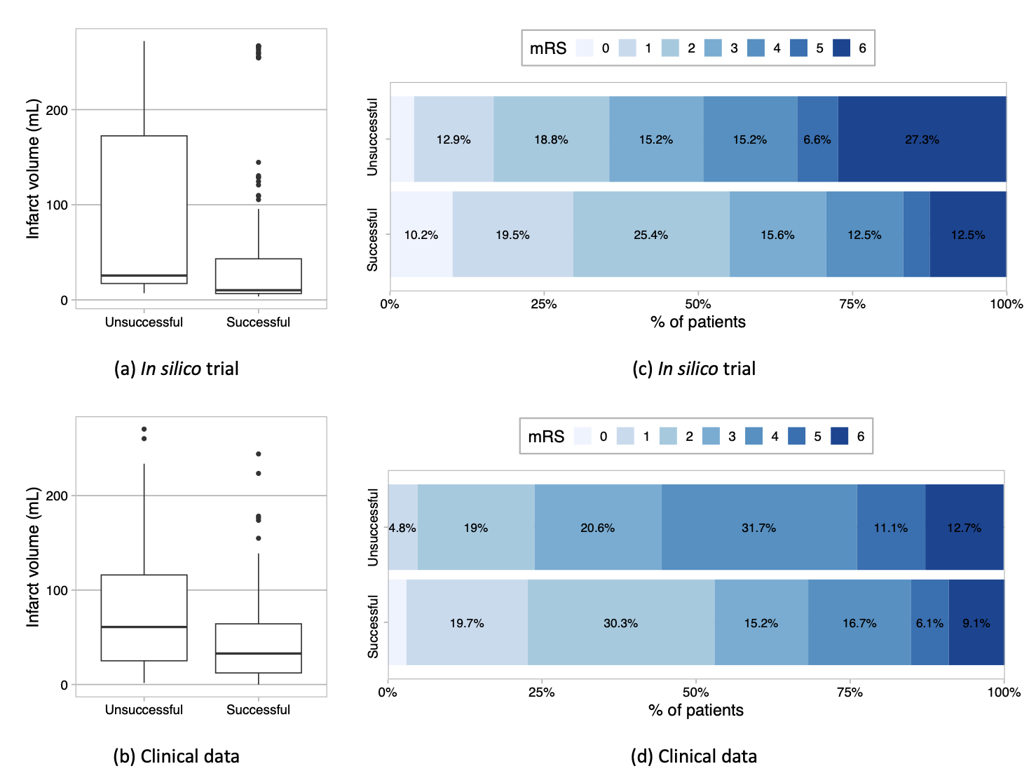
Miller 2025 In silico trials of acute ischemic stroke: predicting the total potential for improvement to patient functional outcomes
Claire M. Miller, Raymond Padmos, Praneeta Konduri, Tamás István Józsa, Yidan Xue, Nerea Arrarte Terreros, Max van der Kolk, Stephen Payne, Henk Marquering, Charles Majoie, Alfons Hoekstra
arXiv, 2025

An in-silico trial framework quantifies the maximum potential benefit of full recanalisation and early treatment for acute ischaemic stroke, predicting functional independence rates across a virtual patient population using multi-scale perfusion and tissue injury models.

Zhou 2025 Synthetic Anatomy: Deep Learning Models for Virtual Population Generation — A Review
Zherui Zhou, Arezoo Zakeri, Haoran Dou, Yidan Xue, Michael MacRaild, Jinghan Huang, Fengming Lin, Ali Sarrami-Foroushani, Jinming Duan, Alejandro F Frangi
medRxiv, 2025

A systematic review of deep learning methods for generating virtual organ populations for in-silico trials, analysing fidelity, utility, generalisability, and diversity across template, statistical, generative, and implicit model families.

Lin 2025 From Pixels to Polygons: A Survey of Deep Learning Approaches for Medical Image-to-Mesh Reconstruction
Fengming Lin, Arezoo Zakeri, Yidan Xue, Michael MacRaild, Haoran Dou, Zherui Zhou, Ziwei Zou, Ali Sarrami-Foroushani, Jinming Duan, Alejandro F Frangi
arXiv, 2025

A survey categorising deep learning-based medical image-to-mesh reconstruction into template, statistical, generative, and implicit model families, with quantitative comparisons across cardiac, neurological, and other anatomical applications.

Payne 2025 Transit time mean and variance are markers of vascular network structure, wall shear stress distribution and oxygen extraction fraction
Stephen J Payne, Yidan Xue, Jen-Feng Kuo, Wahbi K El-Bouri
Biomechanics and Modeling in Mechanobiology, 2025

Transit time distributions in vascular networks encode intrinsic geometric information: mean transit time approximates tissue permeability while relative transit time heterogeneity is a marker of wall shear stress variability and oxygen extraction fraction.

Xue 2025 periodic Computing Stokes flows in periodic channels via rational approximation
Yidan Xue
Proceedings of the Royal Society A, 2025
code

A new algorithm for computing two-dimensional Stokes flows in periodic channels using trigonometric rational functions, with poles placed via the AAA-least squares algorithm, achieving at least six-digit accuracy in under one second.

Xue 2025 bifurcation Stokes flows in a two-dimensional bifurcation
Yidan Xue, Stephen J Payne, Sarah L Waters
Royal Society Open Science, 2025
code

The LARS algorithm is used to compute Stokes flows in 2D bifurcations with varied geometry and fixed objects, showing that Poiseuille's law can substantially misestimate flow conductance; machine-learned surrogate models provide more accurate approximations.

VIRIS 2024 Modelling indoor airborne transmission combining architectural design and people movement using the VIRIS simulator and web app
Yidan Xue, Wassim Jabi, Thomas E Woolley, Katerina Kaouri
Scientific Reports, 2024
code / web app

VIRIS is an agent-based simulator combining indoor movement, detailed architectural design, and viral aerosol transmission for rapid comparison of non-pharmaceutical interventions, validated against a courtroom superspreader event.

LARS 2024 Computation of two-dimensional Stokes flows via lightning and AAA rational approximation
Yidan Xue, Sarah L Waters, Lloyd N Trefethen
SIAM Journal on Scientific Computing, 2024
code

The LARS (Lightning-AAA Rational Stokes) algorithm computes two-dimensional Stokes flows in general smooth and multiply connected domains with at least six-digit accuracy in under one second, using rational approximation of Goursat functions.

Xue 2022 Quantification of hypoxic regions distant from occlusions in cerebral penetrating arteriole trees
Yidan Xue, Theodosia Georgakopoulou, Anne-Eva van der Wijk, Tamás I Józsa, Ed van Bavel, Stephen J Payne
PLOS Computational Biology, 2022

In vivo microembolism experiments and in silico simulations of cerebral penetrating arteriole occlusions reveal that hypoxic regions form at sites distant from occlusions, primarily due to downstream hypoperfusion in the affected arteriole territory.

Miller 2021 In silico trials for treatment of acute ischemic stroke: design and implementation
Claire Miller, Raymond M Padmos, Max van der Kolk, Tamás I Józsa, Noor Samuels, Yidan Xue, Stephen J Payne, Alfons G Hoekstra
Computers in Biology and Medicine, 2021

An event-based modelling framework for in-silico trials of acute ischaemic stroke, integrating multi-scale perfusion, intervention, and tissue injury models with a statistical virtual patient population to predict 90-day functional outcomes.

Xue 2021 Modelling the effects of cerebral microthrombi on tissue oxygenation and cell death
Yidan Xue, Wahbi K El-Bouri, Tamás I Józsa, Stephen J Payne
Journal of Biomechanics, 2021

A new framework quantifies the effects of cerebral microthrombi on oxygen transport and tissue death, combining a Green's function perfusion model with a thrombus extravasation model and a hypoxia-based 3-state cell death model.

Xue 2020 Formation of vortices in idealised branching vessels: a CFD benchmark study
Yidan Xue, Rudolf Hellmuth, Dong-hyuk Shin
Cardiovascular Engineering and Technology, 2020

A CFD benchmark study validates vortex detection in idealised branching blood vessels against experiments by Karino and Goldsmith, and proposes a surrogate model for vortex size as a function of Reynolds number and bifurcation geometry.

Talks

Speaking invitations

  • Towards StressMAP: A TAVI deployment simulation workflow for stress-based surrogate modelling of pacemaker dependency, The 10th Biennial Heart Valve Biology & Tissue Engineering Meeting, The Royal Society, London, UK, Sep 2025
  • Mechanistic simulations in real-world systems for medical device innovation, Simulation Workshop (5-min lightning talk), AI for Research: How Can AI Disrupt the Research Process, The University of Manchester, UK, Jun 2025
  • Computation of 2D Stokes flows via lightning and AAA rational approximation, Physical and Applied Mathematics Seminar Series, The University of Manchester, UK, Nov 2024
  • Modelling physiological flows and transport at low Reynolds numbers, CIMIM Seminar Series (inaugural talk), The University of Manchester, UK, Oct 2024
  • A state-of-the-art epidemic simulator and web app for viral transmission in indoor spaces, SIAM Conference on the Life Sciences, Portland, Oregon, US, Jun 2024
  • Computation of two-dimensional Stokes flows via lightning and AAA rational approximation, Computational and Applied Math Seminar, Peking University, China, May 2024
  • Computation of physiological flows and transport at low Reynolds numbers, Applied and Computational Mathematics Seminar, Cardiff University, UK, Feb 2024
  • Computation of 2D Stokes flows via lightning and AAA rational approximation, Numerical Analysis Group Internal Seminar, University of Oxford, UK, May 2023
  • Modelling oxygen transport in the human cerebral microvasculature, British Applied Mathematics Colloquium, Bristol, UK, Apr 2023

Contributed presentations

  • An automatic workflow for in-silico clinical trials of TAVI devices: From images to deployment and stress analysis, 2025 MDIC Symposium on Computational Modeling & Simulation, Hyattsville, Maryland, US, Nov 2025
  • Computation of 2D Stokes flows via lightning and AAA rational approximation. Numerical Analysis in the 21st Century in honour of Nick Trefethen's retirement from Oxford, Oxford, Aug 2023
  • Modelling human cerebral tissue damage caused by acute ischaemic stroke, 9th World Congress of Biomechanics, Taipei (online), Jul 2022
  • Modelling brain metabolism in ischaemic stroke: oxygen consumption and energy budget, VPH2020, Paris (online), Aug 2020

Teaching

University of Oxford

  • A1 Differential Equations 1, Tutor, Oriel College, 2023–2024
    Tutoring 2nd year undergraduates in small groups (class size: 1–2). 8 contact hours.
  • A7 Numerical Analysis, Tutor (Lecturer), Jesus College, 2022–2023
    Tutoring 2nd year undergraduates; marking example sheets and giving feedback; marking collection paper; giving revision classes and consultation sessions. 15 contact hours.
  • C5.6 Applied Complex Variables, Tutor, Mathematical Institute, 2022–2023
    Teaching 4th year undergraduates and Masters students in classes (class size: 10–12); coordinating classes and mentoring teaching assistants; giving consultation sessions. 16 contact hours.
  • B17 Biomechanics, Lead Tutor, Department of Engineering Science, 2021–2022
    Tutoring 3rd year undergraduates in small groups (class size: 3–4); marking example sheets; coordinating tutorials for the entire course; setting a mock exam paper and giving revision classes. 13 contact hours.

Mentoring

  • Ben Nicholls-Mindlin (MSc MMSC), 2023, Rational Stokes Methods for Tissue Engineering Applications, with Professors Sarah Waters and Helen Byrne from Oxford Maths and Drs Rudolf Hellmuth, Yuan-Tsan Tseng and Najma Latif from the Magdi Yacoub Institute.

Memberships

Miscellanea

  • Erdős number: 4
  • WCCM-ECCOMAS 2026, Advanced Physics-based and Data-driven Modeling for Biomedical Digital Twin (minisymposium), Organiser (with Dongwei Ye and Elena Zappon), Munich, Germany, Jul 2026 (incoming)

Template from Jon Barron.